Operation CHARM
: Car repair manuals for everyone.
Home
>>
GMC
>>
2001
>>
C 1500 Yukon 2WD V8-5.3L VIN T
>>
Repair and Diagnosis
>>
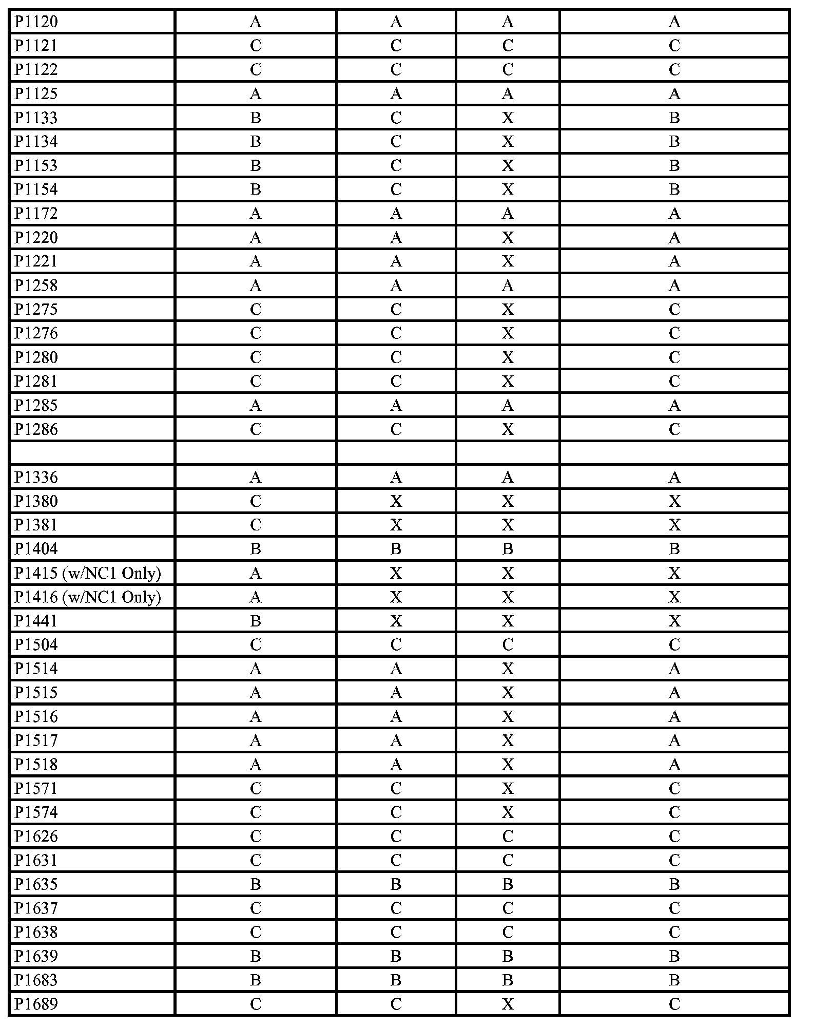
A L L Diagnostic Trouble Codes ( DTC )
>>
Testing and Inspection
>>
Diagnostic Trouble Code Descriptions
>>
Diagnostic Trouble Code List/Type
>>
Engine Controls
Engine Controls