Operation CHARM
: Car repair manuals for everyone.
Home
>>
GMC
>>
2001
>>
C 1500 Yukon 2WD V8-5.3L VIN T
>>
Repair and Diagnosis
>>
Specifications
>>
Mechanical Specifications
>>
Differential Assembly
>>
System Specifications
>>
Rear Drive Axle
>>
Fastener Tightening Specifications
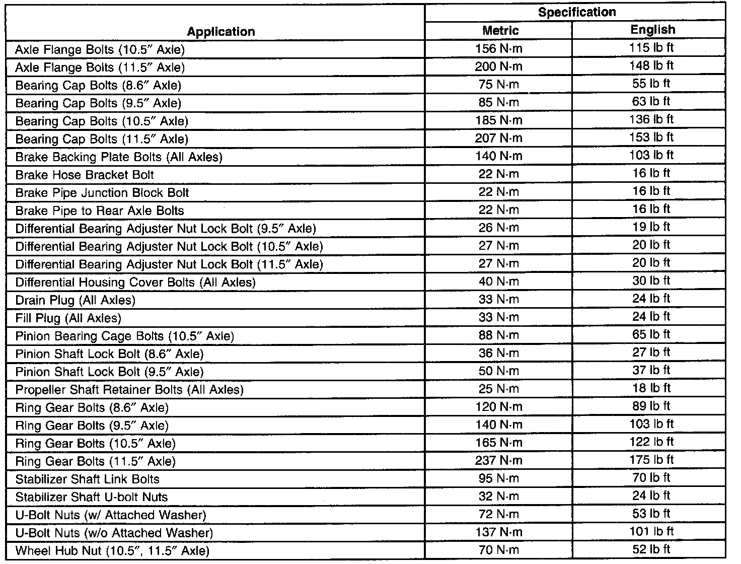
Fastener Tightening Specifications