Operation CHARM
: Car repair manuals for everyone.
Home
>>
GMC
>>
2001
>>
C 1500 Yukon 2WD V8-5.3L VIN T
>>
Repair and Diagnosis
>>
Specifications
>>
Electrical Specifications
>>
Automatic Transmission/Transaxle
>>
System Specifications
>>
Allison - Automatic Transmission
>>
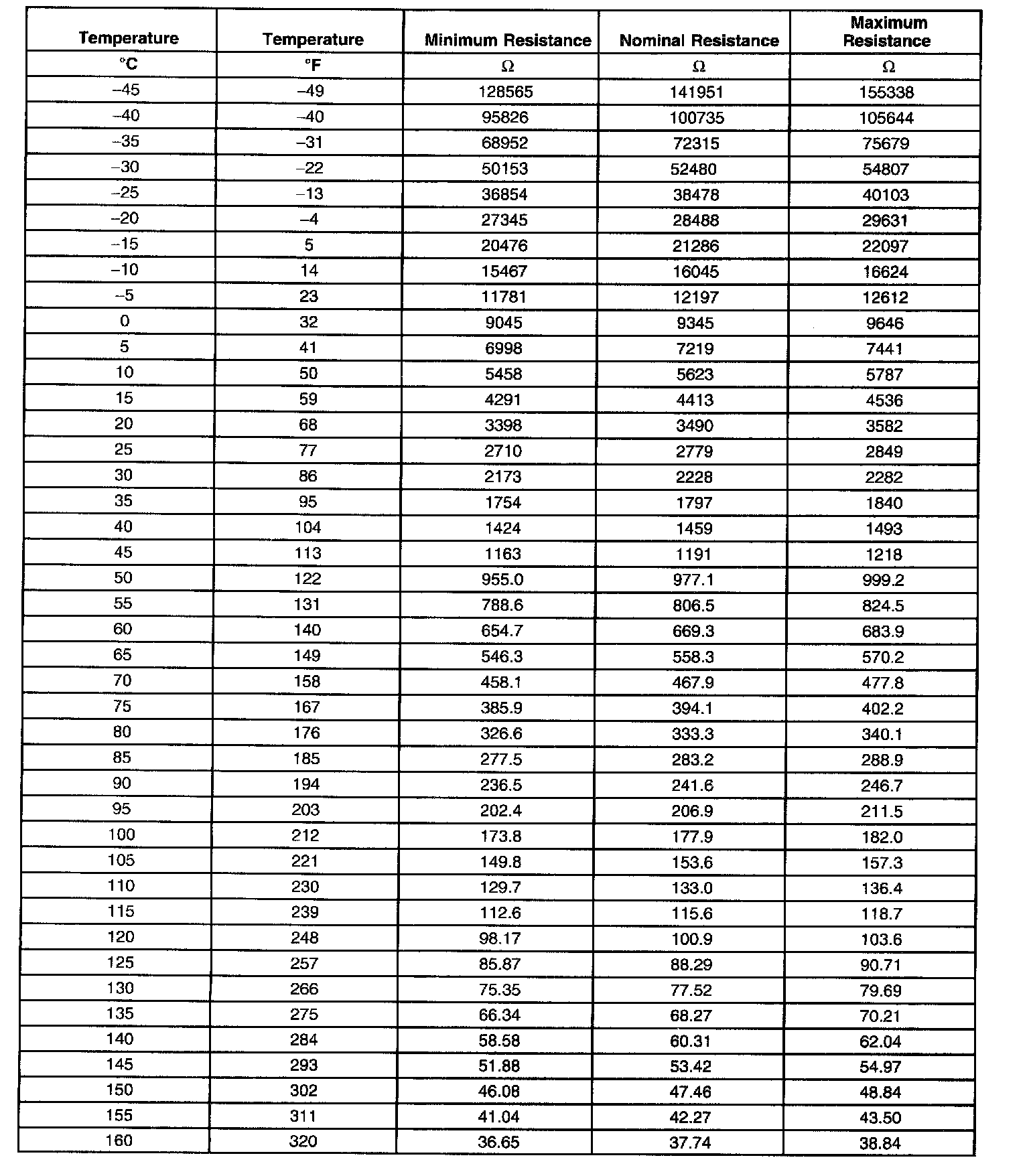
Temperature VS Resistance ( Fluid Temperature Sensor)
Temperature VS Resistance ( Fluid Temperature Sensor)